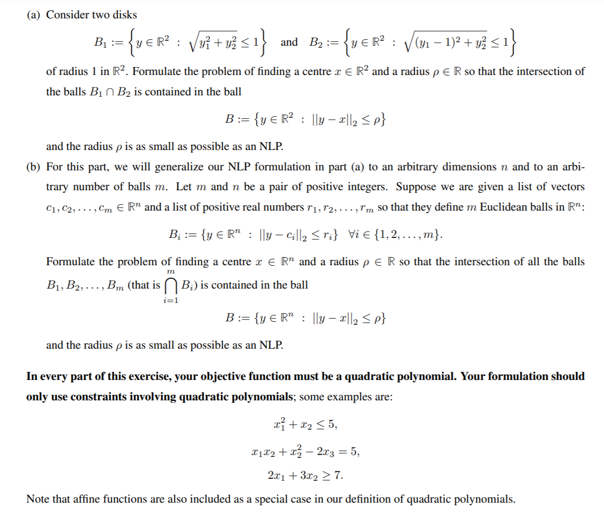
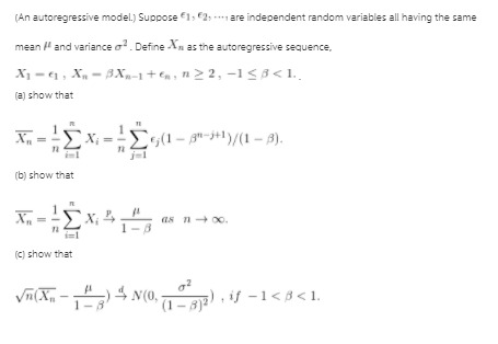
Mathematics Questions and Answers April 28, 2023

Expert-verified solutions to help you succeed

Showing 200 - 300 of 1495
  • 3 / 15