Question: See attached question. Formulas X _ EFX i = P x N N 100 $2 _N(EFX?) -( FX ) S = VS2 N(N -1) CP

See attached question.


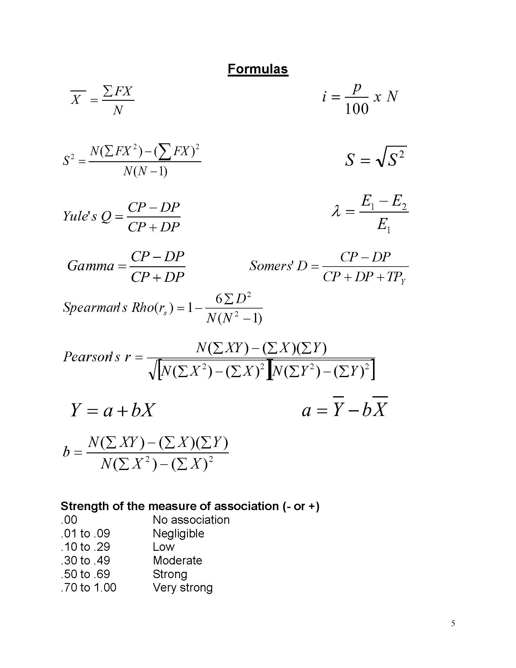
Formulas X _ EFX i = P x N N 100 $2 _N(EFX?) -( FX ) S = VS2 N(N -1) CP - DP E - E2 Yule's Q = - 1 = CP + DP E CP - DP CP - DP Gamma =- Somers' D = CP + DP CP + DP + TP 6ED Spearman's Rho(r, ) = 1-. N(N2 - 1) Pearson s r = N(EXY ) -(EX) (EY) Y = a+bX a =Y-bx b- N(EXY ) -(EX)(EY) N(EX? ) -(EX)2 Strength of the measure of association (- or +) 00 No association 01 to .09 Negligible 10 to .29 Low 30 to .49 Moderate .50 to .69 Strong 70 to 1.00 Very strong 5G. A professor studied a sample of 112 students and found a positive association between Students' study effort (X) and their grades (Y). She decides to introduce a control variable, Student's IQ (Z), and obtained the following first-order table: (6 pts) Student's IQ level (2) Low High Study effort (X) Study effort (X) Grades (Y) Low High All Low High All Low 16 12 28 19 7 26 High 10 16 26 9 23 32 Total 26 28 54 28 30 5B 1. Use an appropriate measure of association to calculate the strength and direction for each one of these two partial tables. 2. Construct a zero-order table between Study effort (X) as independent and Grades (Y) as dependent. Use an appropriate measure of association to explain the strength and direction of the association between X and Y. 3. Compare the zero-order association to the first-order partial associations and determine the type of relationship that exists between X and Y, and the type of control variable Z is
Step by Step Solution
There are 3 Steps involved in it
Get step-by-step solutions from verified subject matter experts
