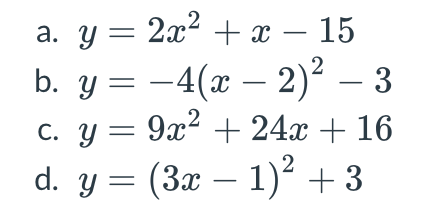
Question: set each equation to zero, and use the techniques you have learned in this module to solve the equations. What type of solutions do they
- set each equation to zero, and use the techniques you have learned in this module to solve the equations. What type of solutions do they have (real or imaginary)? Formulate a conjecture that establishes the relationship between the number of x-intercepts and the number and type of solutions you found algebraically.

\f
Step by Step Solution
There are 3 Steps involved in it
1 Expert Approved Answer
Step: 1 Unlock
Question Has Been Solved by an Expert!
Get step-by-step solutions from verified subject matter experts
Step: 2 Unlock
Step: 3 Unlock
