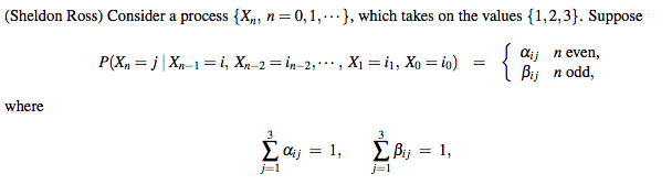
Question: (Sheldon Ross) Consider a process {Xn, n = 0,1, }, which takes on the values {1,2,3}. Suppose (Sheldon Ross) Consider a process { X,, n
(Sheldon Ross) Consider a process {Xn, n = 0,1, }, which takes on the values {1,2,3}. Suppose

(Sheldon Ross) Consider a process { X,, n = 0, 1, . . . }, which takes on the values {1,2, 3}. Suppose P(X, =j X"-1=i, Xn-2 =in-2,' . ., X1 =i1, Xo = io) = Qij n even, 1 Bij n odd, where 3 E dij = 1, 3 2 Bij = 1, j=1
Step by Step Solution
There are 3 Steps involved in it
Get step-by-step solutions from verified subject matter experts
