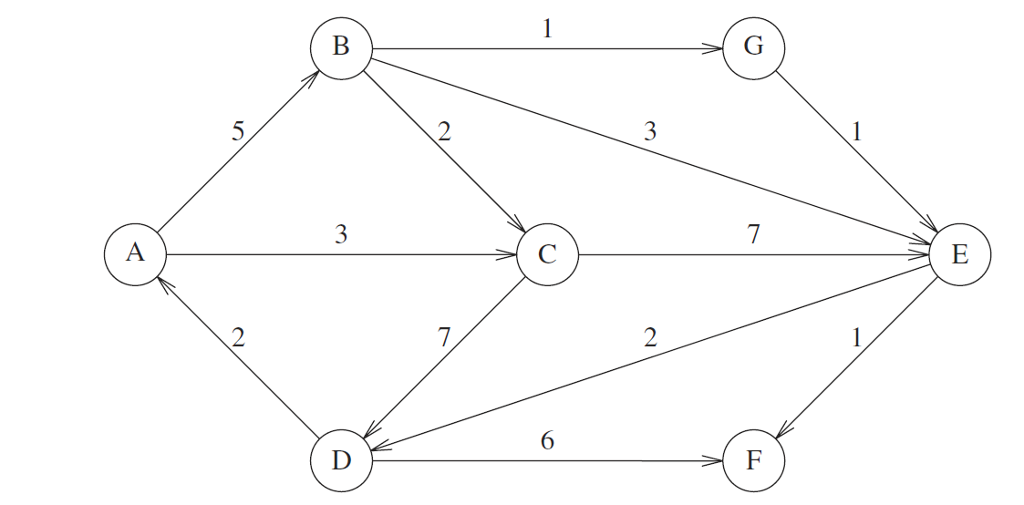
Question: Show a breadth first tree and a depth first tree (with back edges, cross edges, forward edges) beginning from node D. Assume that nodes are

Show a breadth first tree and a depth first tree (with back edges, cross edges, forward edges) beginning from node D. Assume that nodes are explored in a lexicographic order at a node.
7 3 2 2 7 5 2Step by Step Solution
There are 3 Steps involved in it
Get step-by-step solutions from verified subject matter experts
