Question: Show all work to get a chance for partial credit. 1. [75 gators] Suppose Bank A has only one teller. The expected total time a

![[75 gators] Suppose Bank \"A\" has only one teller. The expected total](https://s3.amazonaws.com/si.experts.images/answers/2024/06/6678e234e2bac_2606678e234b9356.jpg)






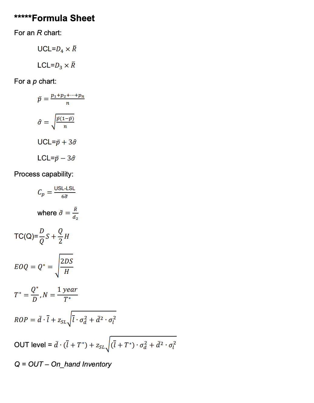
\"\"Show all work to get a chance for partial credit. 1. [75 gators] Suppose Bank \"A\" has only one teller. The expected total time a consumer spends at this bank, CT, is 10 minutes and the average effective process time of the teller, te, is 5 minutes. Assume that the coefficient of variation of interarrival times, ca, and coefficient of variation of effective process time, Ce, are both equal to one. a. Identify the teller utilization, u, and the expected waiting time a consumer spends at this bank, CTq: CTq: u: b. Find the total busy time of the teller in an 8-hour shift: Total Busy Time: (hours) 2. [50 Eor'nfsz The manager of Manufacturing System \"A\" undecides whether to limit the number of parts in the queue (i.e., considering finite buffers) or characterize the line with infinite space for queuing. Assume that the strategies have been tested in another similar manufacturing system. a. The test results (i.e., the expected WIP, CT, and TH ) are given to the manager of Manufacturing System \"A" with some missed data. Help the manager to find the missed data: Dataset 1 ' ' WIP ' TH CT ' I 25 Parts 250 minutes WIP TH CT D t t 2: a ase l l 0.08 parts per minute 100 minutes i b. Draw arrows identify a strategy in the left column that matches each dataset in the right column. In two sentences, explain the effect of limiting buffer size on the expected measures: Finite Buffers Dataset'l Infinite Space Dataset 2 3. [50 points) You want to define control limits, UCL and LCL, for a X-bar Chart to control the diameter of cylinder rails. You collected 30 samples from the manufacturing line. Each sample is of size 7. Assume that )2 is 3.2 inches and R is 8.4 inches. Find UCL and LCL for this chart: LCL: UCL: 4. (75 points! You are the manager of a distribution center. Answer the following questions given that the estimated annual demand for a product is 1,200. 3. Assume the optimal order quantity, 0*. is equal to 100. How often do you need to order, T", and how many times per year, N? T': N: b. Assume that the annual demand is variable with an average of 1,200. You calculated the Reorder Point, HOP, equal to 300. From the time you will place your order (i.e., when inventory falls to the Reorder Point) until the time you will receive the order, you expect to sell 50 products. What is the level of your On-hand Inventory at the time you will receive the order? Circle the correct answer and show your calculation to support your answer: (i) 400 (ii) 350 (iii) 300 (iv) 450 5. [Bonus 20 points] From the perspective of queuing systems, explain why the waiting time for most organ transplants is very long. *****Formula Sheet For Single-machine Station CT, = VUT = (Catce) (") te For Multi-machine Station CT, = VUT = Catce uv2(m+1)-1 m(1-u) te WIPq = ra X CTa CT = CTq +te WIP = ra X CT For finite queueing systems: u ( b + 3 ) ub+ 3 WIP = 1 - u 1 - ub+3 TH = 1 - ub+2\\ 1 - ub+ 3 ra WIP CT = TH R = max{x1, X2, ..., Xnj - min{x1, x2, ..., Xn) Number of Factor for Lower Factor for Upper Factorto estimate Observations in Factor for X-bar Control Limit in R Control Limit in R Standard Deviation, Subgroup (n) Chart (A2) Chart (D3) Chart (D4) (d2) 1.88 O 3.27 1.128 W N 1.02 2.57 1.693 0.73 2.28 2.059 0.58 2.11 2.326 0.48 0 2.00 2.534 0.42 0.08 1.92 2.704 0.37 0.14 1.86 2.847 9 0.34 .18 1.82 2.970 10 0.31 0.22 1.78 3.078 For an X-bar chart: UCL=X + A2 X R LCL=X - A2 X R
Step by Step Solution
There are 3 Steps involved in it
Get step-by-step solutions from verified subject matter experts
