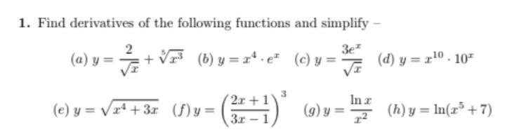
Question: 1. Find derivatives of the following functions and simplify - (a) y = + V (b) y =r*.e (c) y = 3e (d) y
1. Find derivatives of the following functions and simplify - (a) y = + V (b) y =r*.e" (c) y = 3e (d) y = x10 . 10 2x+ (e) y = Vr +3r (f)y = Inr (9) y = (h) y = In(x +7) 3x - 1
Step by Step Solution
3.39 Rating (149 Votes )
There are 3 Steps involved in it
To find the derivatives of the given functions and simplify we will apply various differentiation ru... View full answer
Get step-by-step solutions from verified subject matter experts
