Question: Show all your work for the problem below! Note that This question requires you to find a particular solution and then solve an initial-value problem.
Show all your work for the problem below! Note that This question requires you to find a particular solution and then solve an initial-value problem.
Don't forget to solve the next question on the next page thank you !

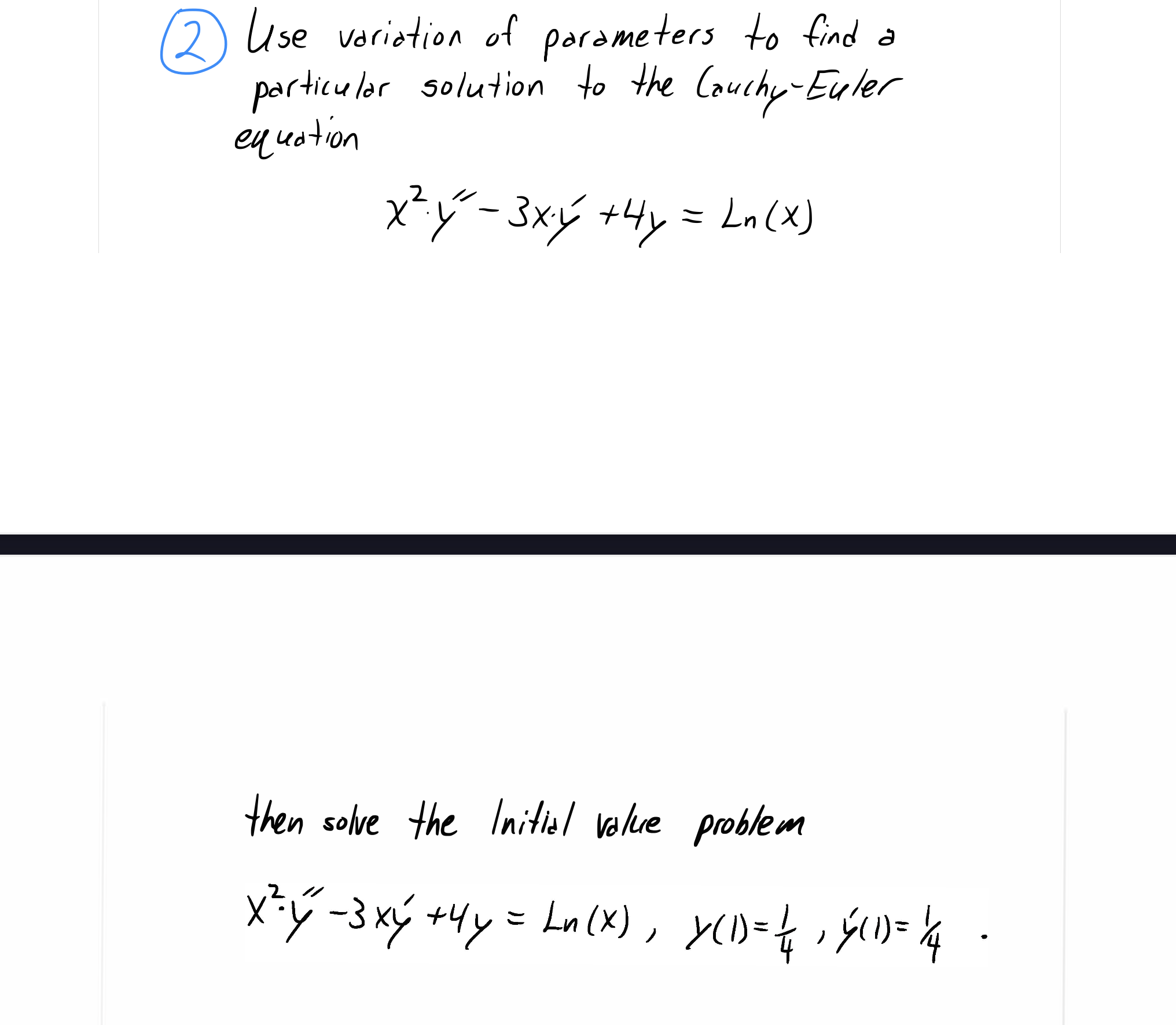
(2) Use variation of parameters to find a particular solution to the Couchy-Euler equation x y y - 3 x y +4 y = Ln (x ) then solve the Initial value problem x by - 3 x y + 4y = In (x) , y(1)=6 , y(1)= /4
Step by Step Solution
There are 3 Steps involved in it
Get step-by-step solutions from verified subject matter experts
