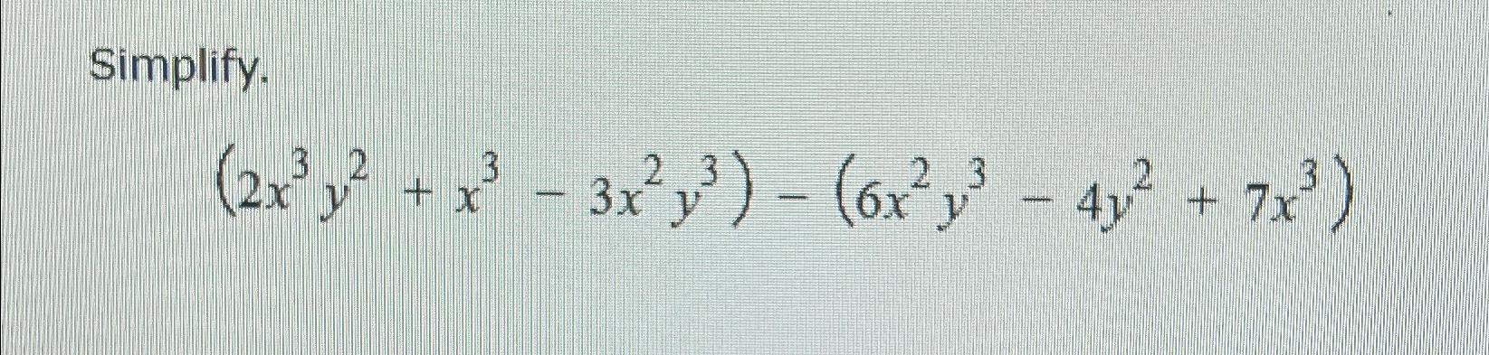
Question: Simplify. ( 2 x 3 y 2 + x 3 - 3 x 2 y 3 ) - ( 6 x 2 y 3 -
Simplify.
Step by Step Solution
There are 3 Steps involved in it
1 Expert Approved Answer
Step: 1 Unlock
Question Has Been Solved by an Expert!
Get step-by-step solutions from verified subject matter experts
Step: 2 Unlock
Step: 3 Unlock
