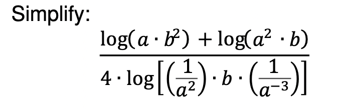
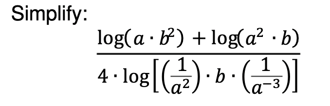
Question: Simplify: log( a . b ) + log(a2 . b) 1 1 4 . log . b a 2 a-3


Simplify: log( a . b ) + log(a2 . b) 1 1 4 . log . b a 2 a-3
Step by Step Solution
There are 3 Steps involved in it
1 Expert Approved Answer
Step: 1 Unlock
Question Has Been Solved by an Expert!
Get step-by-step solutions from verified subject matter experts
Step: 2 Unlock
Step: 3 Unlock
