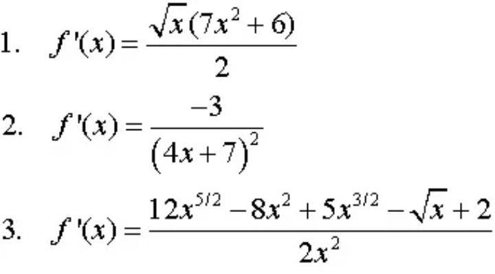
Question: Simplify. Provide complete solutions 2 -3 12x5j2 8x2 + 5x3j2 G + 2 2x2
Simplify. Provide complete solutions

2 -3 12x5j2 8x2 + 5x3j2 G + 2 2x2
Step by Step Solution
There are 3 Steps involved in it
Get step-by-step solutions from verified subject matter experts
