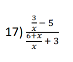
Question: Simplify the following rational expression to create one single rational expression. - 5 17) 6+X + 3
Simplify the following rational expression to create one single rational expression.

- 5 17) 6+X + 3
Step by Step Solution
There are 3 Steps involved in it
Get step-by-step solutions from verified subject matter experts
