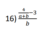
Question: Simplify the following rational expression to create one single rational expression: 3 16) a+b b 16) Q+b*
Simplify the following rational expression to create one single rational expression:

3 16) a+b b
16) Q+b*
Step by Step Solution
There are 3 Steps involved in it
Get step-by-step solutions from verified subject matter experts
