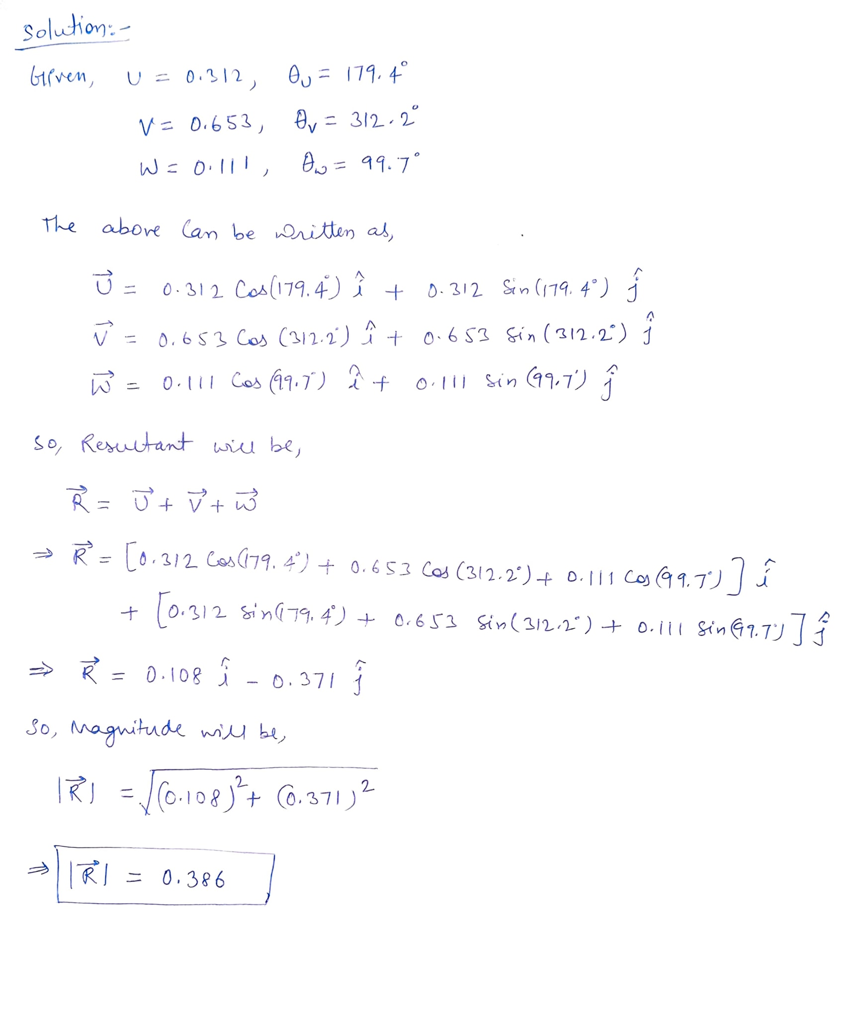
Question: solution : - Given, U = 0.312 , Qu = 179. 40 V = 0. 653 , Ov = 312 . 2 W = D.


solution : - Given, U = 0.312 , Qu = 179. 40 V = 0. 653 , Ov = 312 . 2 W = D. 111, DW = 99.7 The above Can be written as , U = 0. 312 Cos ( 179. 4 ) 1 + 0. 312 Sin (179. 4 0 ) j V = 0. 653 Cos ( 31 2 . 2 ) i + 0. 653 Sin ( 312. 2 . ) j W = 0.111 Cos (99.7 ) 2 + 0.Ill sin (99. 7') j so, Resultant will be, R = U + V' + W - R = [0. 312 Cos ( 179. 4") + 0. 653 Cos ( 312 . 2" ) + 0.111 Cos ( 9 9. 7' ) ) i + [ 0.312 sin(179. 4 " ) + 0.653 sin ( 312 .2 " ) + 0. 111 sin (99.7 ) ] ] -> R = 0.108 1 - 0.371 3 so , Magnitude will be, I RI = / (0. 108 ) 2+ (0. 371 ) 2 |RI = 0. 386
Step by Step Solution
There are 3 Steps involved in it
Get step-by-step solutions from verified subject matter experts
