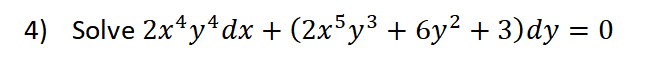
Question: Solve 2 x 4 y 4 d x + ( 2 x 5 y 3 + 6 y 2 + 3 ) d y =
Solve
Step by Step Solution
There are 3 Steps involved in it
1 Expert Approved Answer
Step: 1 Unlock
Question Has Been Solved by an Expert!
Get step-by-step solutions from verified subject matter experts
Step: 2 Unlock
Step: 3 Unlock
