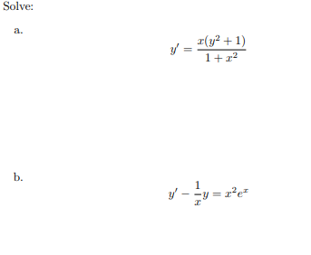
Question: Solve: a . y ' = x ( y 2 + 1 ) 1 + x 2 b . y ' - 1 x y
Solve:
Step by Step Solution
There are 3 Steps involved in it
1 Expert Approved Answer
Step: 1 Unlock
Question Has Been Solved by an Expert!
Get step-by-step solutions from verified subject matter experts
Step: 2 Unlock
Step: 3 Unlock
