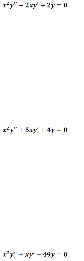
Question: Solve each linear, homogeneous ODE; show/explain all work, compute the Wronskian. f
Solve each linear, homogeneous ODE; show/explain all work, compute the Wronskian.

Step by Step Solution
There are 3 Steps involved in it
Get step-by-step solutions from verified subject matter experts
