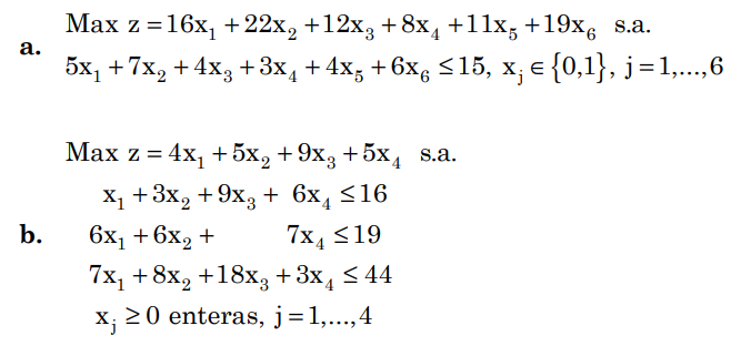
Question: Solve each model, applying the branch-and-bound algorithm: s.a=subject to entera=whole = a. Max z =16x, +22x, +12x3 + 8x4 +11x, +19x6 s.a. 5x, +7x, +4x3
Solve each model, applying the branch-and-bound algorithm:

s.a=subject to entera=whole
= a. Max z =16x, +22x, +12x3 + 8x4 +11x, +19x6 s.a. 5x, +7x, +4x3 +3x2 + 4x: +6x6 =15, x; = {0,1}, ;= 1,...,6 E = b. Max z = 4x, +5x, +9x2 +5x4 s.a. X. +3x, +9x, + 6x,Step by Step Solution
There are 3 Steps involved in it
1 Expert Approved Answer
Step: 1 Unlock
Question Has Been Solved by an Expert!
Get step-by-step solutions from verified subject matter experts
Step: 2 Unlock
Step: 3 Unlock
