Question: Solve each problem and show the complete solution A tank contains 1000 kg of a 10% salt solution. A stream containing salt at 20% concentration
Solve each problem and show the complete solution
- A tank contains 1000 kg of a 10% salt solution. A stream containing salt at 20% concentration enters the tank at 20 kg/min and the mixture leaves the tank after complete mixing at a rate of 10 kg/min. Obtain an expression for the salt concentration in the outlet as a function of time and the salt concentration in the tank after 1 hour. What will be the time at which the salt concentration in the tank will be 15%?
- A sewage disposal plant has a big concrete holding tank of 100,000-gal capacity. It is 3?4 full of liquid to start with and contains 60,000 lb of organic material in suspension. Water runs into the holding tank at the rate of 20,000 gal/hr and the solution leaves at the rate of 15,000 gal/hr. How much organic material is in the tank at the end of 3 hours?
Formula:




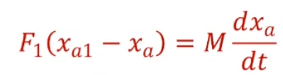
condition 1 condition 2 t= 0 any time, t Transition from condition 1 to condition 2 with respect to t mo mom Formula: dm dt = k(mo - m) (Cs - C) where: mo - amount of the substance undissolved at t =0, original amount m - amount of substance dissolved at any time t C - instantaneous concentration Cs - saturation concentrationUnsteady- state Mass Balance involving one component F1 dm/dt - rate of accumulation M F2 Input - Output = accumulation [ Fin - Fout dm dt\f\f
Step by Step Solution
There are 3 Steps involved in it
Get step-by-step solutions from verified subject matter experts
