Question: Solve each problem and show the complete solution A saturated solution known to contain 50 g of solute per 100 grams of solvent. If 30
Solve each problem and show the complete solution
- A saturated solution known to contain 50 g of solute per 100 grams of solvent. If 30 g of the solute is agitated with 100 grams of water, 10 grams are dissolved in 2 hours. (a) Solve the amount of solute at any time,t. (b) How much solute will dissolve in 6 hours?
- A tank with a capacity of 5000 kg of water is initially half full. Twenty kilogram per minute is charged into the tank and 14.5 kg per minute is withdrawn simultaneously at the bottom. How long will it take to fill the tank?
- A 150-gal tank initially contains 80 lb of salt dissolved in 90 gal of water. Brine containing 2 lb/gal of salt flows into the tank at the rate of 5 gal/min, and the mixture flows out of the tank at the rate of 4 gal/min. If after 40 minutes, how much salt does the tank contain?
FORMULAS:




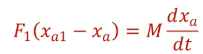
condition 1 condition 2 t= 0 any time, t Transition from condition 1 to condition 2 with respect to t mo mom Formula: dm dt = k(mo - m) (Cs - C) where: mo - amount of the substance undissolved at t =0, original amount m - amount of substance dissolved at any time t C - instantaneous concentration Cs - saturation concentrationUnsteady- state Mass Balance involving one component F1 dm/dt - rate of accumulation M F2 Input - Output = accumulation [ Fin - Fout dm dt\f\f
Step by Step Solution
There are 3 Steps involved in it
Get step-by-step solutions from verified subject matter experts
