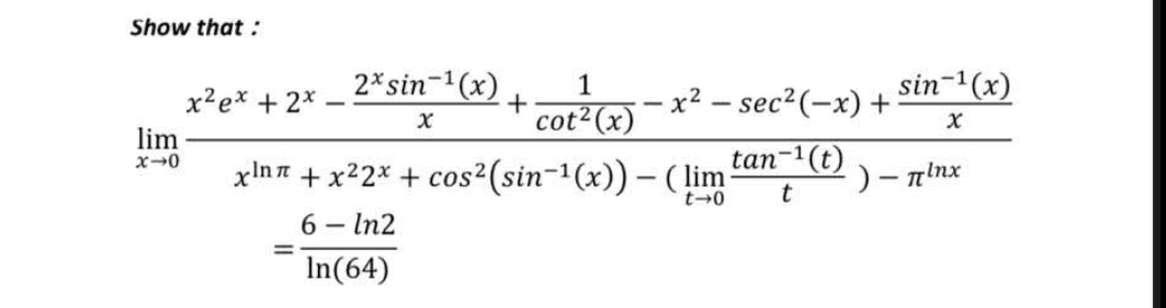
Question: Solve it without use ' H pital ' s rule Show that : lim x 0 x 2 e x + 2 x - 2
Solve it without use Hpitals rule
Show that :
Step by Step Solution
There are 3 Steps involved in it
1 Expert Approved Answer
Step: 1 Unlock
Question Has Been Solved by an Expert!
Get step-by-step solutions from verified subject matter experts
Step: 2 Unlock
Step: 3 Unlock
