Question: ( SOLVE PART 2 AND 3 ONLY ) Part 1 : Dynamic Modeling A jacketed stirred tank is used to cool a process by causing
SOLVE PART AND ONLYPart : Dynamic Modeling
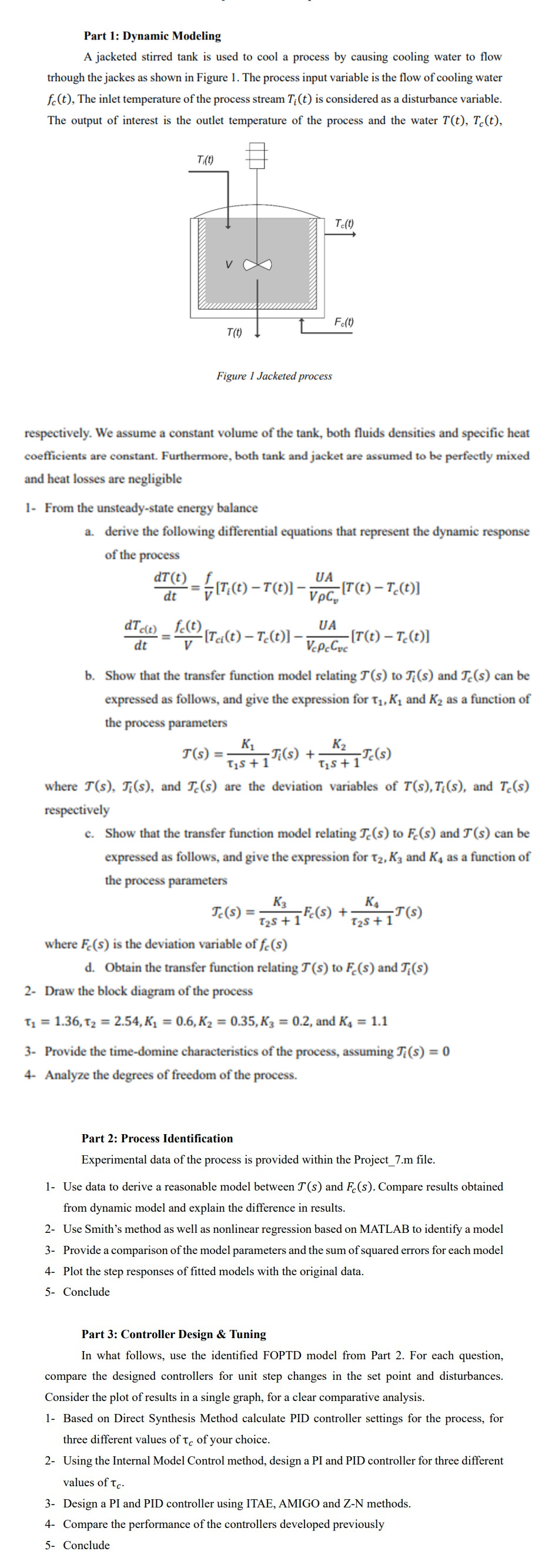
A jacketed stirred tank is used to cool a process by causing cooling water to flow
trhough the jackes as shown in Figure The process input variable is the flow of cooling water
The inlet temperature of the process stream is considered as a disturbance variable.
The output of interest is the outlet temperature of the process and the water
respectively. We assume a constant volume of the tank, both fluids densities and specific heat
coefficients are constant. Furthermore, both tank and jacket are assumed to be perfectly mixed
and heat losses are negligible
From the unsteadystate energy balance
a derive the following differential equations that represent the dynamic response
of the process
b Show that the transfer function model relating to and can be
expressed as follows, and give the expression for and as a function of
the process parameters
where and are the deviation variables of and
respectively
c Show that the transfer function model relating to and can be
expressed as follows, and give the expression for and as a function of
the process parameters
where is the deviation variable of
d Obtain the transfer function relating to and
Draw the block diagram of the process
and
Provide the timedomine characteristics of the process, assuming
Analyze the degrees of freedom of the process.
Part : Process Identification
Experimental data of the process is provided within the Projectm file.
Use data to derive a reasonable model between and Compare results obtained
from dynamic model and explain the difference in results.
Use Smith's method as well as nonlinear regression based on MATLAB to identify a model
Provide a comparison of the model parameters and the sum of squared errors for each model
Plot the step responses of fitted models with the original data.
Conclude
Part : Controller Design & Tuning
In what follows, use the identified FOPTD model from Part For each question,
compare the designed controllers for unit step changes in the set point and disturbances.
Consider the plot of results in a single graph, for a clear comparative analysis.
Based on Direct Synthesis Method calculate PID controller settings for the process, for
three different values of of your choice.
Using the Internal Model Control method, design a PI and PID controller for three different
values of
Design a PI and PID controller using ITAE, AMIGO and ZN methods.
Compare the performance of the controllers developed previously
Conclude
Step by Step Solution
There are 3 Steps involved in it
1 Expert Approved Answer
Step: 1 Unlock
Question Has Been Solved by an Expert!
Get step-by-step solutions from verified subject matter experts
Step: 2 Unlock
Step: 3 Unlock
