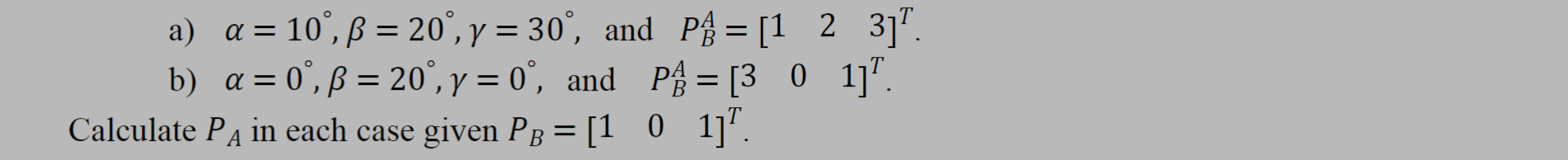
Question: solve question 2 Write a MATLAB program to calculate the inverse homogenous transformation matrix T B A - 1 using the symbolic formula. Calculate your
solve question
Write a MATLAB program to calculate the inverse homogenous transformation matrix using the symbolic formula. Calculate your result with a numerical MATLAB function inv Demonstarte that both methods yield correct results Demonstarte this for examples in a and b of problem
a and
b and
Calculate in each case given
Step by Step Solution
There are 3 Steps involved in it
1 Expert Approved Answer
Step: 1 Unlock
Question Has Been Solved by an Expert!
Get step-by-step solutions from verified subject matter experts
Step: 2 Unlock
Step: 3 Unlock
