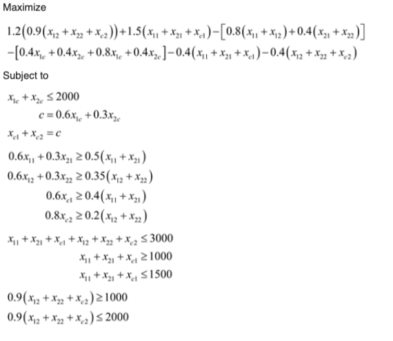
Question: Solve the above Linear Program using Excel or Google Sheets. Please show steps, thank you!! Maximize 1.2(0.9(xi2 + Xx2+x2))+1.5(x,, + X2 + x)-[0.8(x,, + x2)+0.4(x21

Solve the above Linear Program using Excel or Google Sheets. Please show steps, thank you!!
Maximize 1.2(0.9(xi2 + Xx2+x2))+1.5(x,, + X2 + x)-[0.8(x,, + x2)+0.4(x21 + X22)] -[0.4x), +0.4xze +0.8x7 +0.4x2] -0.4(X1, + x2 + x,-0.4(x12 + xy + x2) Subject to * +
Step by Step Solution
There are 3 Steps involved in it
Get step-by-step solutions from verified subject matter experts
