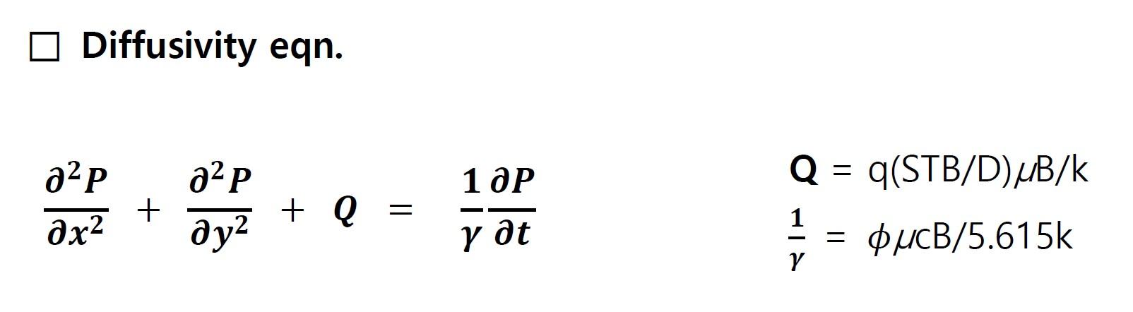
Question: solve the diffusivity eqn. Diffusivity eqn. 1 a2p 2 + 22P 2 + Q Q = Q(STB/D)UB/K QUCB/5.615k 1 vt = v Diffusivity eqn. 1
solve the diffusivity eqn.
Diffusivity eqn. 1 a2p 2 + 22P 2 + Q Q = Q(STB/D)UB/K QUCB/5.615k 1 vt = v Diffusivity eqn. 1 a2p 2 + 22P 2 + Q Q = Q(STB/D)UB/K QUCB/5.615k 1 vt = v
Step by Step Solution
There are 3 Steps involved in it
Get step-by-step solutions from verified subject matter experts
