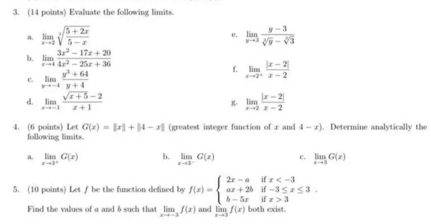
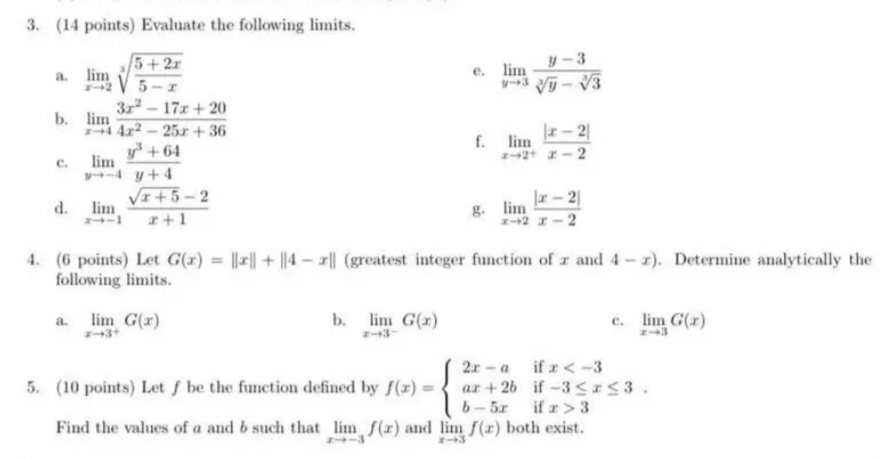
Question: Solve the ff. 3. (14 points) Evaluate the following limits. 5+ 2r y - 3 a. lim e. lim I-$2 V 5-1 y-+3 VJ -

Solve the ff.

3. (14 points) Evaluate the following limits. 5+ 2r y - 3 a. lim e. lim I-$2 V 5-1 y-+3 VJ - V3 312 - 17x + 20 b. lim 1-4 4x2 - 253 + 36 |z - 21 c. lim y + 64 f. lim vid y+4 d. lim Va +5 -2 x - 2 r+1 g. lim 4. (6 points) Let G(x) = [z) + |4 - r| (greatest integer function of a and 4 - r). Determine analytically the following limits. a. lim G(x) b. lim G(x) T-+3+ c. lim G(x) 3-3- 2x-a ifi 3 Find the values of a and b such that lim f(x) and lim f(x) both exist
Step by Step Solution
There are 3 Steps involved in it
Get step-by-step solutions from verified subject matter experts
