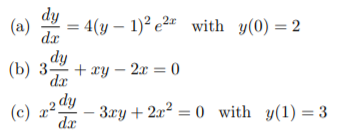
Question: Solve the following differential equations. Note that the solution may be either a general solution or a particular solution. f
Solve the following differential equations. Note that the solution may be either a general solution or a particular solution.

\f
Step by Step Solution
There are 3 Steps involved in it
Get step-by-step solutions from verified subject matter experts
