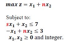
Question: Solve the following Integer Programming problem using the branch and bound algorithm. Choose x 1 as branching variable in the first branching. n = 5
Solve the following Integer Programming problem using the branch and bound algorithm. Choose x as branching variable in the first branching. n smaxz
Subject to:
and integer.
Step by Step Solution
There are 3 Steps involved in it
1 Expert Approved Answer
Step: 1 Unlock
Question Has Been Solved by an Expert!
Get step-by-step solutions from verified subject matter experts
Step: 2 Unlock
Step: 3 Unlock
