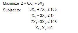
Question: Solve the following linear programming problem graphically: Maximize 1) Using the line drawing tool, plot the constraints by picking two endpoints for each line. Do
Solve the following linear programming problem graphically: Maximize

1) Using the line drawing tool, plot the constraints by picking two endpoints for each line. Do not plot the nonnegativity constraints.
2) Using the point drawing tool, plot the five corner points which define the feasible region.
Maximize Z = 6X4 +6X2 Subject to: 3X, +7X2 105 X1 - 3X2 S 12 7X+3X2 S 105 X x1, x2 20 AX2 50- Objective functions a 40- 30- 20- 10- 0- 0 10 20 30 40 50 (0,50)Step by Step Solution
There are 3 Steps involved in it
Get step-by-step solutions from verified subject matter experts
