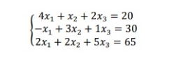
Question: Solve the following linear systems using the requested method: B) By the Gauss-Jacobi method, with a relative error of 0.5.
Solve the following linear systems using the requested method: B) By the Gauss-Jacobi method, with a relative error of 0.5.

Step by Step Solution
There are 3 Steps involved in it
Get step-by-step solutions from verified subject matter experts
