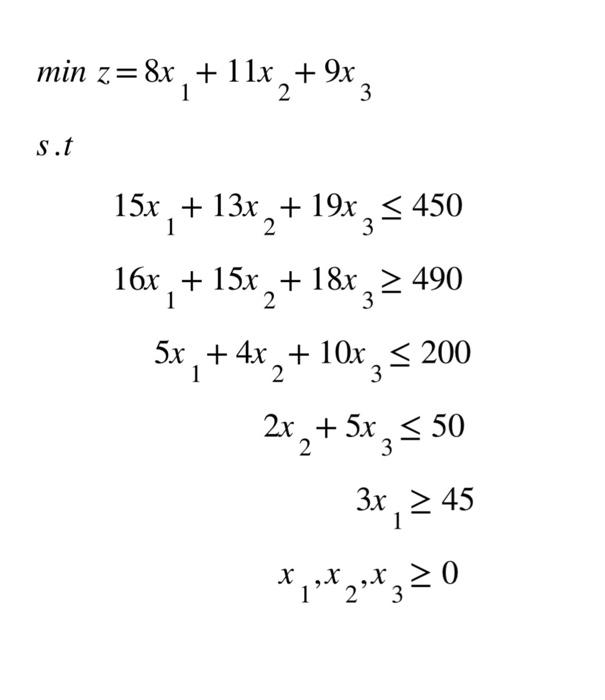
Question: Solve the following optimization model using Excel Solver and generate a sensitivity report. Upload the final excel file. Thank you! minz=8x1+11x2+9x3s.t15x1+13x2+19x345016x1+15x2+18x34905x1+4x2+10x32002x2+5x3503x145x1,x2,x30
Solve the following optimization model using Excel Solver and generate a sensitivity report. Upload the final excel file.
Thank you!
minz=8x1+11x2+9x3s.t15x1+13x2+19x345016x1+15x2+18x34905x1+4x2+10x32002x2+5x3503x145x1,x2,x30
Step by Step Solution
There are 3 Steps involved in it
1 Expert Approved Answer
Step: 1 Unlock
Question Has Been Solved by an Expert!
Get step-by-step solutions from verified subject matter experts
Step: 2 Unlock
Step: 3 Unlock
