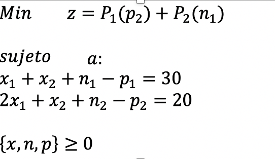
Question: Solve the following problem with the SIMPLEX method (using Excel) Min z = P1 (P2) + P2(ni) a: sujeto x1 + x2 + ny P1
Solve the following problem with the SIMPLEX method (using Excel)

Step by Step Solution
There are 3 Steps involved in it
1 Expert Approved Answer
Step: 1 Unlock
Question Has Been Solved by an Expert!
Get step-by-step solutions from verified subject matter experts
Step: 2 Unlock
Step: 3 Unlock
