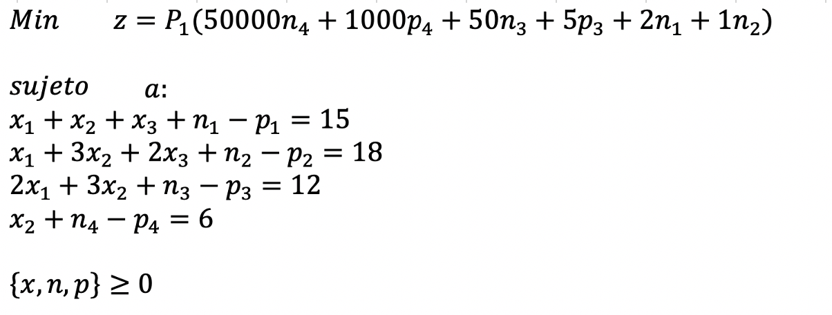
Question: Solve the following problem with the SIMPLEX method (using Excel) Min z = P1(50000n4 + 1000p4 + 50nz + 5p3 + 2n1 + 1n2) a:
Solve the following problem with the SIMPLEX method (using Excel) 
Step by Step Solution
There are 3 Steps involved in it
1 Expert Approved Answer
Step: 1 Unlock
Question Has Been Solved by an Expert!
Get step-by-step solutions from verified subject matter experts
Step: 2 Unlock
Step: 3 Unlock
