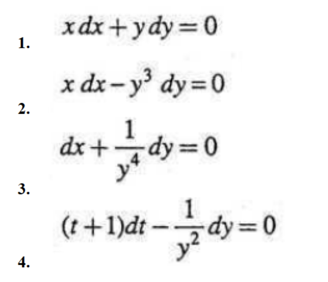
Question: solve the following Separable First Order Differential Equations xdx + ydy=0 1. x dx -y' dy=0 2. dx + - dy = 0 y 3.
solve the following Separable First Order Differential Equations

Step by Step Solution
There are 3 Steps involved in it
1 Expert Approved Answer
Step: 1 Unlock
Question Has Been Solved by an Expert!
Get step-by-step solutions from verified subject matter experts
Step: 2 Unlock
Step: 3 Unlock
