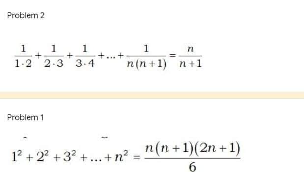
Question: solve the following using mathematical induction, reference on the 2nd and 3rd photo EXAMPLE 1 Prove that, for any positive integer n, 1+ 2+ 3+...+
solve the following using mathematical induction, reference on the 2nd and 3rd photo



Step by Step Solution
There are 3 Steps involved in it
1 Expert Approved Answer
Step: 1 Unlock
Question Has Been Solved by an Expert!
Get step-by-step solutions from verified subject matter experts
Step: 2 Unlock
Step: 3 Unlock
