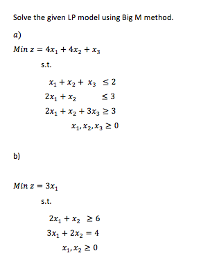
Question: Solve the given LP model using Big M method. Min z = 4x + 4x2 + x3 s.t. X1 + x2 + x3 s 2

Step by Step Solution
There are 3 Steps involved in it
1 Expert Approved Answer
Step: 1 Unlock
Question Has Been Solved by an Expert!
Get step-by-step solutions from verified subject matter experts
Step: 2 Unlock
Step: 3 Unlock
