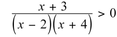
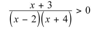
Question: Solve the inequation. Plot your answer on a number line. Show your steps. X + 3 x - 2) (x +4 > 0

Solve the inequation. Plot your answer on a number line. Show your steps.

X + 3 x - 2) (x +4 > 0
Step by Step Solution
There are 3 Steps involved in it
1 Expert Approved Answer
Step: 1 Unlock
Question Has Been Solved by an Expert!
Get step-by-step solutions from verified subject matter experts
Step: 2 Unlock
Step: 3 Unlock
