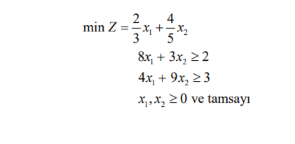
Question: Solve the lineer programming model given below using the Branch-Bound graph method. Find it using. Please dont use the program , I want you to
Solve the lineer programming model given below using the Branch-Bound graph method. Find it using.
Please dont use the program , I want you to find it by solving it with the graphic method

Step by Step Solution
There are 3 Steps involved in it
Get step-by-step solutions from verified subject matter experts
