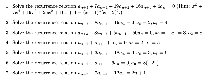
Question: Solve the recurrence relation a n + 5 + 7 a n + 4 + 1 9 a n + 2 + 1 6 a
Solve the recurrence relation Hint:
:
Solve the recurrence relation
Solve the recurrence relation
Solve the recurrence relation
Solve the recurrence relation
Solve the recurrence relation
Solve the recurrence relation
Step by Step Solution
There are 3 Steps involved in it
1 Expert Approved Answer
Step: 1 Unlock
Question Has Been Solved by an Expert!
Get step-by-step solutions from verified subject matter experts
Step: 2 Unlock
Step: 3 Unlock
