Question: solve this case study as soon as possible ENG3005 2020-2021 -ASSIGNMENTBRIEF - Module Code: Module Name: ENG3005 Lean Manufacturing & Quality Applications Assignment No: AS1

solve this case study as soon as possible
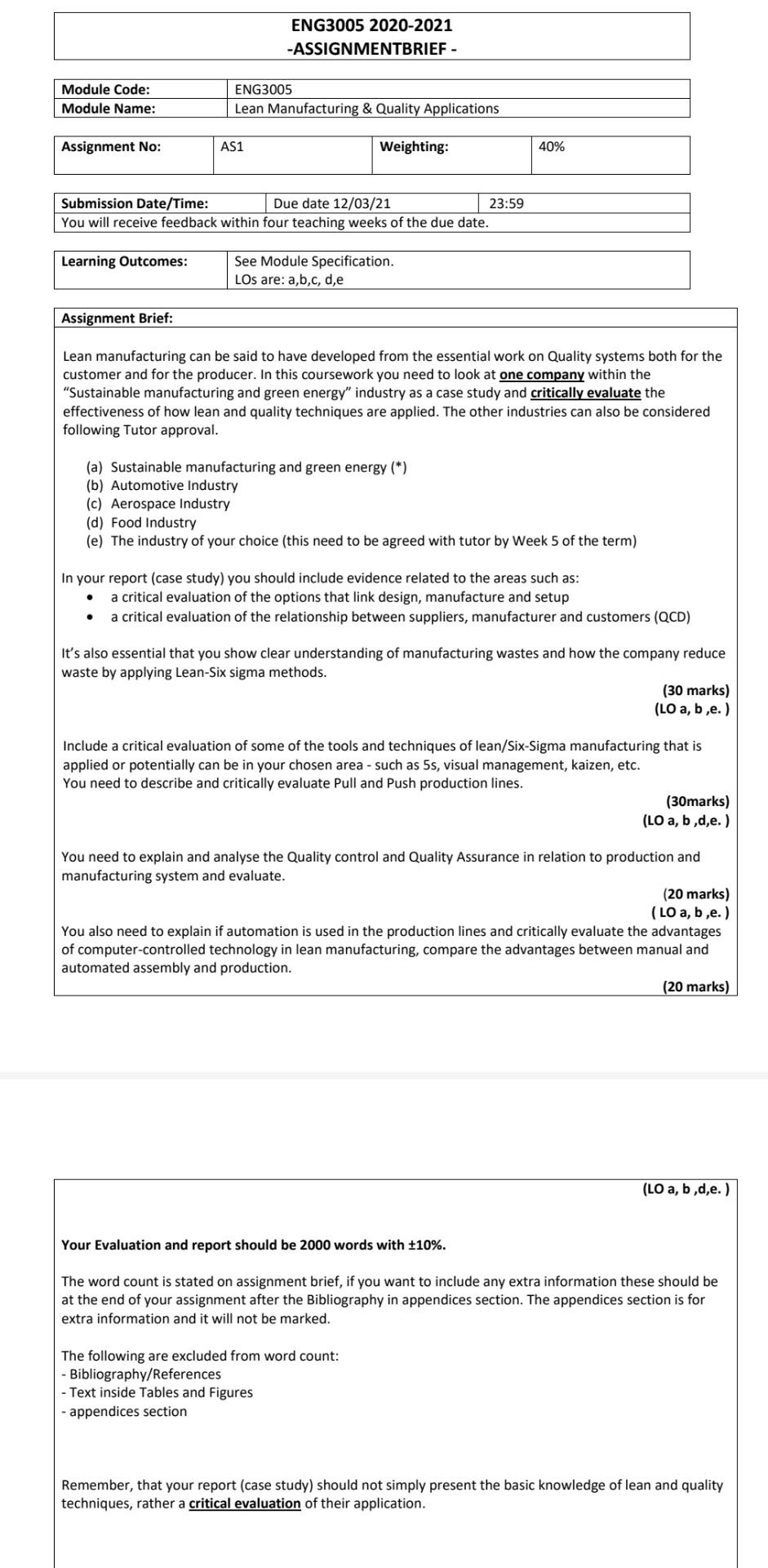
ENG3005 2020-2021 -ASSIGNMENTBRIEF - Module Code: Module Name: ENG3005 Lean Manufacturing & Quality Applications Assignment No: AS1 Weighting: 40% Submission Date/Time: Due date 12/03/21 23:59 You will receive feedback within four teaching weeks of the due date. Learning Outcomes: See Module Specification. LOs are: a,b,c,d,e Assignment Brief: Lean manufacturing can be said to have developed from the essential work on Quality systems both for the customer and for the producer. In this coursework you need to look at one company within the "Sustainable manufacturing and green energy" industry as a case study and critically evaluate the effectiveness of how lean and quality techniques are applied. The other industries can also be considered following Tutor approval. (a) Sustainable manufacturing and green energy (*) (b) Automotive Industry (c) Aerospace Industry (d) Food Industry (e) The industry of your choice (this need to be agreed with tutor by Week 5 of the term) In your report (case study) you should include evidence related to the areas such as: a critical evaluation of the options that link design, manufacture and setup a critical evaluation of the relationship between suppliers, manufacturer and customers (QCD) It's also essential that you show clear understanding of manufacturing wastes and how the company reduce waste by applying Lean-Six Sigma methods. (30 marks) (LO a, b,e.) Include a critical evaluation of some of the tools and techniques of lean/Six-Sigma manufacturing that is applied or potentially can be in your chosen area - such as 5s, visual management, kaizen, etc. You need to describe and critically evaluate Pull and Push production lines. (30marks) (LO a, b,d,e.) You need to explain and analyse the Quality control and Quality Assurance in relation to production and manufacturing system and evaluate. (20 marks) (LO a, b,e.) You also need to explain if automation is used in the production lines and critically evaluate the advantages of computer-controlled technology in lean manufacturing, compare the advantages between manual and automated assembly and production. (20 marks) (LO a, b,d,e.) Your Evaluation and report should be 2000 words with #10%. The word count is stated on assignment brief, if you want to include any extra information these should be at the end of your assignment after the Bibliography in appendices section. The appendices section is for extra information and it will not be marked. The following are excluded from word count: - Bibliography/References Text inside Tables and Figures - appendices section Remember, that your report (case study) should not simply present the basic knowledge of lean and quality techniques, rather a critical evaluation of their application. ENG3005 2020-2021 -ASSIGNMENTBRIEF - Module Code: Module Name: ENG3005 Lean Manufacturing & Quality Applications Assignment No: AS1 Weighting: 40% Submission Date/Time: Due date 12/03/21 23:59 You will receive feedback within four teaching weeks of the due date. Learning Outcomes: See Module Specification. LOs are: a,b,c,d,e Assignment Brief: Lean manufacturing can be said to have developed from the essential work on Quality systems both for the customer and for the producer. In this coursework you need to look at one company within the "Sustainable manufacturing and green energy" industry as a case study and critically evaluate the effectiveness of how lean and quality techniques are applied. The other industries can also be considered following Tutor approval. (a) Sustainable manufacturing and green energy (*) (b) Automotive Industry (c) Aerospace Industry (d) Food Industry (e) The industry of your choice (this need to be agreed with tutor by Week 5 of the term) In your report (case study) you should include evidence related to the areas such as: a critical evaluation of the options that link design, manufacture and setup a critical evaluation of the relationship between suppliers, manufacturer and customers (QCD) It's also essential that you show clear understanding of manufacturing wastes and how the company reduce waste by applying Lean-Six Sigma methods. (30 marks) (LO a, b,e.) Include a critical evaluation of some of the tools and techniques of lean/Six-Sigma manufacturing that is applied or potentially can be in your chosen area - such as 5s, visual management, kaizen, etc. You need to describe and critically evaluate Pull and Push production lines. (30marks) (LO a, b,d,e.) You need to explain and analyse the Quality control and Quality Assurance in relation to production and manufacturing system and evaluate. (20 marks) (LO a, b,e.) You also need to explain if automation is used in the production lines and critically evaluate the advantages of computer-controlled technology in lean manufacturing, compare the advantages between manual and automated assembly and production. (20 marks) (LO a, b,d,e.) Your Evaluation and report should be 2000 words with #10%. The word count is stated on assignment brief, if you want to include any extra information these should be at the end of your assignment after the Bibliography in appendices section. The appendices section is for extra information and it will not be marked. The following are excluded from word count: - Bibliography/References Text inside Tables and Figures - appendices section Remember, that your report (case study) should not simply present the basic knowledge of lean and quality techniques, rather a critical evaluation of their application
Step by Step Solution
There are 3 Steps involved in it
Get step-by-step solutions from verified subject matter experts
