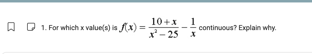
Question: Solve this math question correctly 1. For which x value(s) is f(x) = 10+ x 1 x continuous? Explain why. x3 - 25
Solve this math question correctly

Step by Step Solution
There are 3 Steps involved in it
1 Expert Approved Answer
Step: 1 Unlock
Question Has Been Solved by an Expert!
Get step-by-step solutions from verified subject matter experts
Step: 2 Unlock
Step: 3 Unlock
