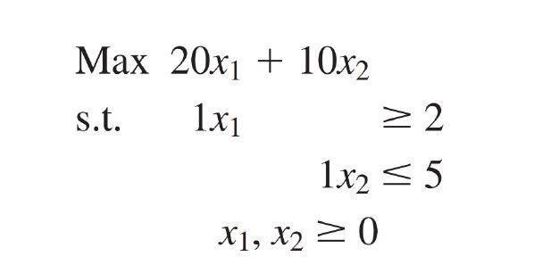
Question: Solve this model using the simplex method. Max 20x1 + 10x2 s.t. 1x1 > 2 1x2 = 5 X1, X2 > 0
Solve this model using the simplex method.
Step by Step Solution
There are 3 Steps involved in it
1 Expert Approved Answer
Step: 1 Unlock
Question Has Been Solved by an Expert!
Get step-by-step solutions from verified subject matter experts
Step: 2 Unlock
Step: 3 Unlock
