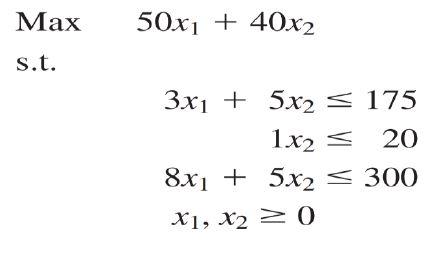
Question: Solve this model using the simplex method. Max 50xi + 40x2 S.t. 3x1 + 5x2 = 175 1.x2
Solve this model using the simplex method.
Step by Step Solution
There are 3 Steps involved in it
1 Expert Approved Answer
Step: 1 Unlock
Question Has Been Solved by an Expert!
Get step-by-step solutions from verified subject matter experts
Step: 2 Unlock
Step: 3 Unlock
