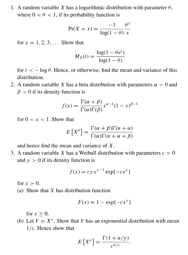
Question: Solve this out. 1. A random variable X has a logarithmic distribution with parameter d, where 0 0 and B > 0 if its density
Solve this out.

1. A random variable X has a logarithmic distribution with parameter d, where 0 0 and B > 0 if its density function is r(a + B) f(x)= r"-(1 -x)8-1 r(@)T(B) for 0 0 and y > 0 if its density function is f(x) = cyx"-'exp(-cx/} for x > 0. (a) Show that X has distribution function F(x) = 1 - exp(-cx/ } for x > 0. (b) Let Y = XY. Show that Y has an exponential distribution with mean 1/c. Hence show that E[X" ] = r(1 +n/y) only
Step by Step Solution
There are 3 Steps involved in it
Get step-by-step solutions from verified subject matter experts
