Question: Solve this problem ONLY in MATLAB, please attach the entire script and and photo of the answers that the script gives. A continuous ball mill
Solve this problem ONLY in MATLAB, please attach the entire script and and photo of the answers that the script gives.
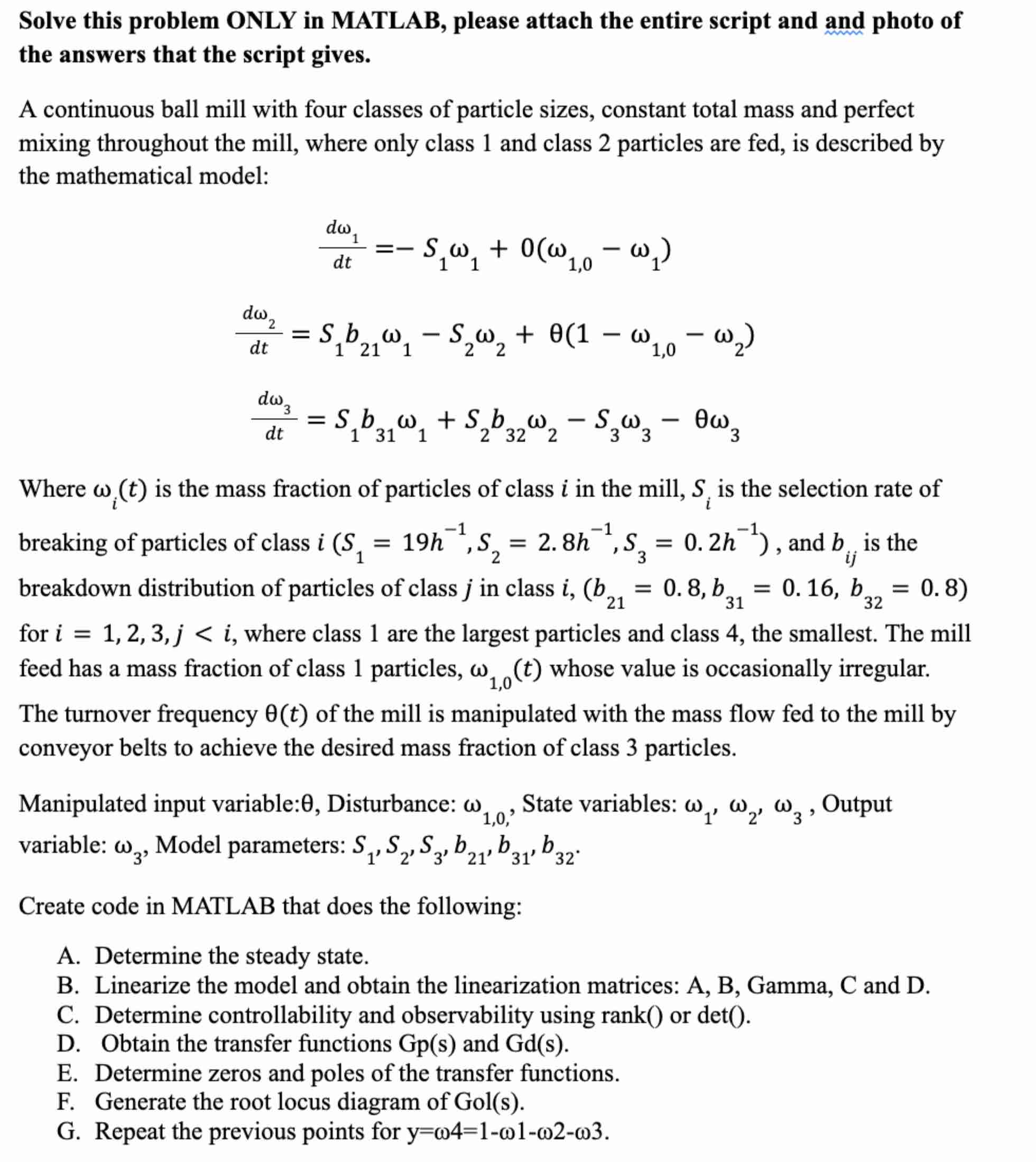
A continuous ball mill with four classes of particle sizes, constant total mass and perfect mixing throughout the mill, where only class and class particles are fed, is described by the mathematical model:
Where is the mass fraction of particles of class in the mill, is the selection rate of breaking of particles of class and is the
breakdown distribution of particles of class in class
for where class are the largest particles and class the smallest. The mill feed has a mass fraction class particles, whose value occasionally irregular.
The turnover frequency the mill manipulated with the mass flow fed the mill conveyor belts achieve the desired mass fraction class particles.
Manipulated input variable: Disturbance: State variables: Output variable: Model parameters:
Create code MATLAB that does the following:
Determine the steady state.
Linearize the model and obtain the linearization matrices: Gamma, and
Determine controllability and observability using rank
Obtain the transfer functions and
Determine zeros and poles the transfer functions.
Generate the root locus diagram Gol
Repeat the previous points for
Step by Step Solution
There are 3 Steps involved in it
1 Expert Approved Answer
Step: 1 Unlock
Question Has Been Solved by an Expert!
Get step-by-step solutions from verified subject matter experts
Step: 2 Unlock
Step: 3 Unlock
