Question: Solve using Excel 1) Formulate and solve a spreadsheet modelfor the maximum flow problem, shown below, where node A is the source, node F is


Solve using Excel
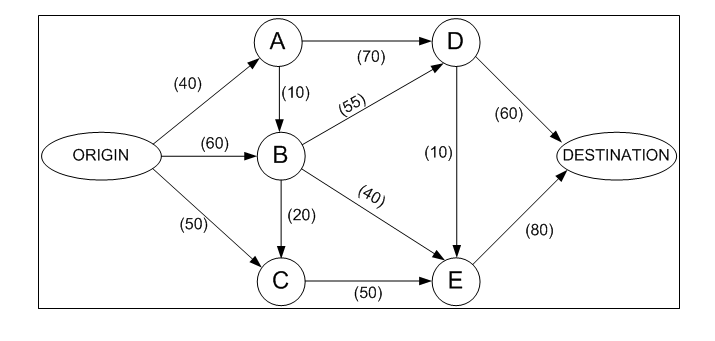
1) Formulate and solve a spreadsheet modelfor the maximum flow problem, shown below, where node A is the source, node F is the sink, and are capacities are numbers in parentheses shown next to arcs. B D (7) (5) (8) (11) A (4) F (10) (6) (11) E (8) 2) Formulate and solve a spreadsheet modelfor the shortest path problem, shown below, starting from ORIGIN and ending in DESTINATION. Distances between points in miles in parentheses are shown next to arcs. A D (70) (40) (10) (55) (60) (60) ORIGIN B (10) DESTINATION (40) (20) (50) (80) E (50)Step by Step Solution
There are 3 Steps involved in it
1 Expert Approved Answer
Step: 1 Unlock
Question Has Been Solved by an Expert!
Get step-by-step solutions from verified subject matter experts
Step: 2 Unlock
Step: 3 Unlock
