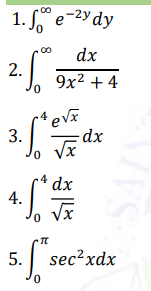
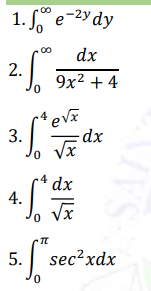
Question: Solve using improper integrals: CO 1. e-zydy 0 dx 2. 0 9x2+4 2 vx 3. dx 0 VX dx 4. 0 VX 5. sec? xdx


Solve using improper integrals:


CO 1. e-zydy 0 dx 2. 0 9x2+4 2 vx 3. dx 0 VX dx 4. 0 VX 5. sec? xdx 0EVALUATE X Find the area bounded by the curve y = (1+x2 ) and its asymptote/s
Step by Step Solution
There are 3 Steps involved in it
Get step-by-step solutions from verified subject matter experts
