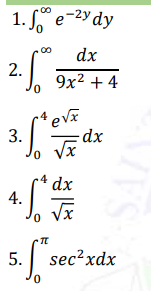
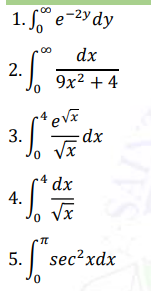
Question: Solve by using improper integrals (put the limit) do not shortcut the solutions: CO 1. e-zydy 0 dx 2. 0 9x2+4 2 vx 3. dx

Solve by using improper integrals (put the limit) do not shortcut the solutions:

CO 1. e-zydy 0 dx 2. 0 9x2+4 2 vx 3. dx 0 VX dx 4. 0 VX 5. sec? xdx 0
Step by Step Solution
There are 3 Steps involved in it
Get step-by-step solutions from verified subject matter experts
