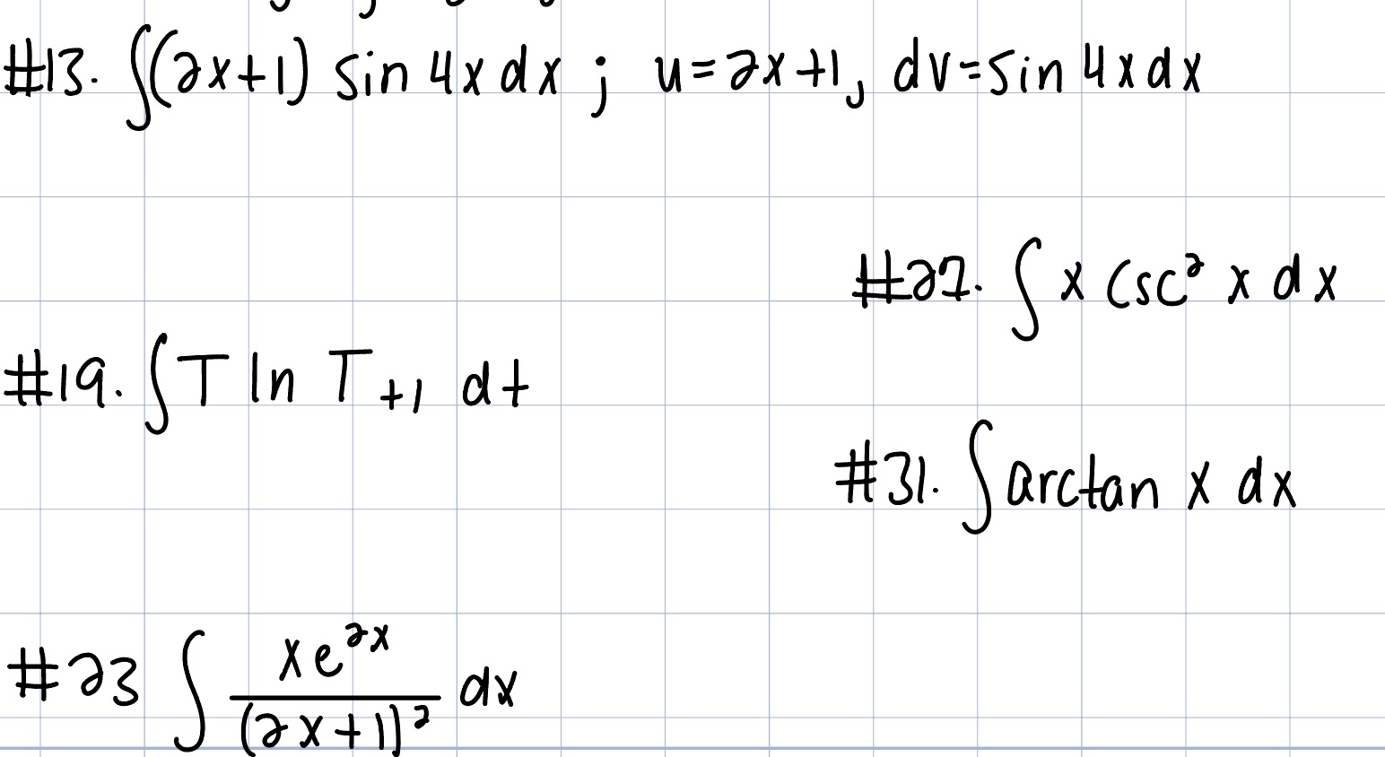
Question: Solve using integration by parts, if not applicable just solve using any method of integration #13. ( 2 x + 1 ) Sin 4 x
Solve using integration by parts, if not applicable just solve using any method of integration

#13. ( 2 x + 1 ) Sin 4 x dx ; u= ax+1, dv = sin uxdx itett ( x ( scox d x #19 . ( T In T + 1 at # 31. arctan X dx Ee# X eax olx ell fxe )
Step by Step Solution
There are 3 Steps involved in it
Get step-by-step solutions from verified subject matter experts
