Question: Solve using SIMPLEX METHOD. Solution using CPLEX: // solution (optimal) with objective 24 // Quality Incumbent solution: // MILP objective 2.4000000000e+01 // MILP solution norm

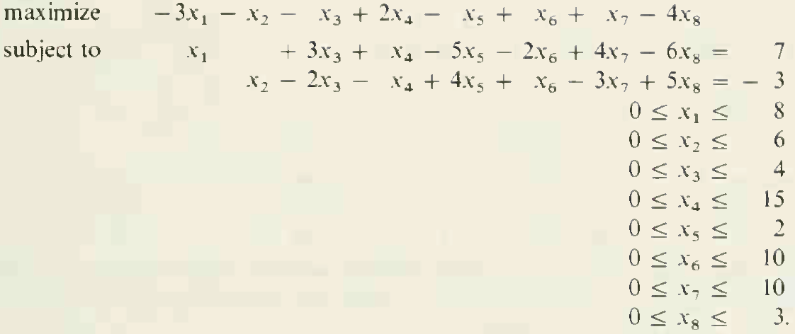
Solve using SIMPLEX METHOD.
Solution using CPLEX:
// solution (optimal) with objective 24 // Quality Incumbent solution: // MILP objective 2.4000000000e+01 // MILP solution norm |x| (Total, Max) 2.50000e+01 - 1.50000e+01 // MILP solution error (Ax=b) (Total, Max) 0.00000e+00 - 0.00000e+00 // MILP x bound error (Total, Max) 0.00000e+00 - 0.00000e+00 // MILP x integrality error (Total, Max) 0.00000e+00 - 0.00000e+00 // MILP slack bound error (Total, Max) 0.00000e+00 - 0.00000e+00 //
x1 = 0; x2 = 6; x3 = 0; x4 = 15; x5 = 2; x6 = 1; x7 = 1; x8 = 0;
maximize subject to - 3x X1 X X2 X3 + 2x + 3x3 + X - 2X3 - - - 4x + x + Ex 5.x5 - 4x8 - 6xg 3x, + 5xg 2x6 + 4x7 9x + $xp + x II - - 54x50 0 x Sex 50 5x50 0 xg 5%x50 T >8x>0 7386&SNO 4 15 10 0 x 10 3. 2Step by Step Solution
There are 3 Steps involved in it
Get step-by-step solutions from verified subject matter experts
